웹사이트 소개
Introduction of the website
fluorF 소개
Introduction of fluorF
새로운 소식
News
하루 이야기
Daily essay
글
Articles
사진첩
Album
방명록
Guestbook
글
Articles
과학 1-1
Science 1-1
과학으로 세상 꼬집기
Critiques on the Pseudoscientific World
소이캔들이 건강에 좋다고?
Soy Candles for Good Health?
집에 들어오니 집안 가득 이상한 냄새가 난다. 아직도 어제 어머니께서 아깝게 태워버린 음식 냄새가 남아있는 것인가 싶어 미간을 찡그린 채 코를 벌름거렸더니 이건 단순히 닭고기가 타서 나는 냄새가 아니었다. 눈을 들어 보니 집안 곳곳에서 화학적 연소과정이 진행되고 있는 것이 아닌가? 어머니와 동생이 탄 냄새를 없애기 위해 집안 환기를 시켰다가 그것으로도 모자랄 것 같아 이 방, 저 방에 향초와 향을 피워둔 것이었다. 정전일 때에나 볼 수 있었던 광경이 눈 앞에 펼쳐지니 갑자기 거실에 둘러앉아 두런두런 이야기꽃이라도 피워야 할 것 같았다. 우리는 거실에 앉아서 요즘 있었던 정신 사나웠던 일들에 대해 열띤 이야기를 펼치고 있었다. 그 때 동생이 매우 뜬금없는, 그러나 굉장히 흥미로운 말을 건넸다: "요즘 사람들이 소이캔들 많이 산다던데."
소이캔들? 콩 양초? 그게 대관절 무엇이람. 동생에게 소이캔들이라는 것이 많이 팔리는 상품이냐고 물었더니 동생은 요즘 소이캔들이 웰빙 열풍을 타고 주목받은 상품이며, 소이캔들은 일반 양초를 피울 때 나는 유해한 성분이 전혀 나지 않는 천연 성분으로 만들어져 많은 사람들이 건강을 위해 구매하더라는 사실을 알려줬다. 처음에는 소이캔들이라는 명칭에 불만부터 들었다. 아마 '콩 양초'라고 '이름을 붙였다'면 외면받았겠지만 '소이캔들'이라고 '네이밍(naming)'해 줬으니 환대받았겠지, 뭐 이런 비아냥 말이다.
그런데 순간 머릿속에 온갖 화학식들이 스쳐 지나가기 시작했다. 콩기름으로 만들었다는 양초와 일반 파라핀 양초는 어떤 차이가 있을까? 대체 무엇이 하나를 유해한 양초로, 하나를 친환경 건강 양초로 만들었다는 것인가? 점차 동생을 바라보는 눈은 '명탐정 우사미'의 눈을 닮아가기 시작했다. 그리고 나는 거기서 그치지 않았고, 바로 인터넷을 찾아 관련된 자료들을 닥치는 대로 수집하기 시작했다. (그리고 이것이 바로 '과학으로 세상 꼬집기'를 연재하기 시작한 직접적인 동기가 되었다.)
아니나다를까, '소이캔들'이라고 구글에서 검색해보니 다양한 웹문서와 블로그에서 소이캔들 효능, 소이캔들 제조를 이야기하고 있었고, 소이캔들을 전문적으로 취급하는 판매 사이트도 있었다. 세상에, 이런 걸 나만 모르고 있었단 말이야? 몇 군데 돌아다녀보니 소이캔들이 파라핀 양초보다 좋은 점들이 다음 세 가지로 압축된다는 사실을 알게 되었다.
이러한 입장은 엘리자베스 로저스(Elizabeth Rogers)와 토마스 코스티젠(Thomas Kostigen)이 쓴 책 'The Green Book(그린 북)'에 제대로 표현되어 있다.
파라핀 왁스는 석유로부터 만들어졌고 탈 때 디젤 연료가 탈 때와 같은 연소물을 내놓기 때문에 100% 밀랍 양초나 소이캔들을 사용하면 화석 연료 사용량도 절감하고 실내 공기 질도 높일 수 있고, 그리고 발암 물질에 덜 노출될 수 있습니다. 이 양초들은 재생 가능한 원료로부터 만들어질 뿐만 아니라 90% 정도 더 깨끗하게 연소하고, 파라핀 양초에 비해 최소한 50% 더 오래 가지요. 16 oz (대략 0.45 kg)의 파라핀 양초를 만들기 위해 이용되는 원유로 60 W 짜리 백열전구를 100 시간이나 틀어놓을 수 있습니다. 만약 100 가구 중에 한 가구만이라도 8 oz 의 파라핀 양초를 밀랍 양초나 소이캔들로 교체한다면 그로부터 아끼는 에너지로 록펠러 센터에 있는 크리스마스 트리 장식 전구를 추수감사절(11월 넷째 주 목요일에 해당)부터 다음해 7월 4일까지 24시간 일주일 내내 켜둘 수 있다구요.2
엘리자베스 로저스는 한술 더 떠 저명한 미국의 방송인인 오프라 윈프리(Oprah Winfrey)의 사이트 오프라닷컴(https://www.oprah.com)에 연재물 'Shift Your Habit to Improve Your Love Life(습관을 고쳐 당신의 사랑하는 삶을 더 낫게 만들라)'에서 Joy to the Soy(콩에 기쁨을) ㅡ 캐럴 '기쁘다 구주 오셨네'의 영어 원제인 'Joy to the World(세상에 기쁨을)'을 생각나게 하는 언어유희 ㅡ 이라는 제목 아래 다음과 같은 짤막한 글을 기고하였다.
파라핀 양초 대신 소이캔들을 구입하세요. 양초를 똑같은 시간동안 태운다고 했을 때 $10를 절약할 수 있습니다. 그리고 소이캔들은 깨끗하게 연소하기 때문에 석유로부터 만들어진 파라핀 양초가 탈 때 만들어지는 디젤 연료 태울 때나 나오는 아주 더러운 오염 물질을 90%나 덜 방출한답니다. 콩은 재생 가능한 원료지만 원유로부터 만든 파라핀은 그렇지 않죠. 또 다른 장점은 말이죠, 실내 공기 질이 더 좋아진다는 것과 온갖 양초 그을음과 11가지의 발암물질로부터 덜 노출된다는 겁니다.4
엘리자베스 로저스는 2006년 세계적인 배우 카메론 디아즈(Cameron Diaz)이 진행을 맡은 환경 다큐멘터리 프로그램 트리핀(Trippin')을 통해 이름을 알리게 되었고, 각종 강연과 초청으로 유명 인사가 되었으며 'Natural Resources Defense Council(천연자원 보호 협의회)'라는 비영리단체의 고문으로도 활동하였다. 특히 위에 언급한 그녀의 책 ''The Green Book'은 베스트셀러가 되어 명성을 드높이는 계기가 되었다. 비록 이 책에 대한 많은 독자들의 비난도 무시할 수 없는 부분이긴 하지만 많이 팔렸다는 것은 그만큼 환경에 대한 주제에 관심을 불러일으키는 것에 성공한 것이라고 볼 수 있으니, 그녀는 참으로 대단한 일을 해낸 것이었다.
하지만 그녀는 환경과 관련된 학위를 소지한 전문적 학식을 갖춘 학자는 아니다. 나는 분명 관련된 주제를 서점에서 쉽게 살 수 있는 잡지가 아닌 정부 간행물이나 과학 전문 잡지에서 발견해낼 수 있을 것이라는 확신을 했다. 예상은 사실이었다. 미국 환경보호국(United States Environmental Protection Agency)에서 2001년 1월에 내놓은 프로젝트 보고서에서는 양초와 향불이 실내 공기 오염에 미치는 영향에 대해 다루고 있었다. 다음은 보고서 초록의 일부이다.
양초를 태우는 것과 향불을 피우는 것은 작은 미립자들로 인한 문제의 원인이 될 수 있다. 납이 포함된 심지가 있는 양초를 태우면 실내 공기 중 납의 양이 환경보호국의 허용량을 초과하게 된다.5
하지만 이것은 너무나도 원론적인 이야기에서 다뤄지는 내용이었다. 연소될 때 그을음 입자 성분이 나오는 것은 비단 양초 뿐 아니라 탄소를 포함한 수많은 물질들이 그러하다. 또한 양초 심지에 납 성분이 있다고 하지만 그건 양초가 콩기름으로 만들어졌든, 파라핀으로 만들어졌든 동일한 조건인 것이니 역시 주목할 만한 이야기가 못 된다.
좌절도 잠시, 나는 아주 결정적인 단서가 될만한 흥미로운 것을 뜻밖에도 미국 화학회(American Chemical Society)에서 찾았다. 2009년 8월 19일, 미국 워싱턴에서 열린 238회 미국 화학회 학술대회의 환경화학 분과(Division of Environmental Chemistry) 구두 발표 세션에서 사우스 캐롤라이나 주립 대학(South Carolina State University)의 루훌라 마수디(Ruhullah Massoudi) 연구진이 발표한 연구 내용 제목이 'Emission products of petroleum-based candles(석유로부터 얻은 양초들이 내뿜는 물질들)'이었다. 다음은 그들의 발표내용 초록이다.
본 발표는 서로 다른 양초 회사로부터 얻은 파라핀 왁스의 방출 물질 조성에 대한 연구를 담고 있다. 방출되는 연소물의 조성은 Perkin-Elmer TurboMass 기체크로마토그래피-질량분석기를 이용하여 미 국립 표준기술연구소(NIST, National Institute of Standards and Technology)의 화합물 라이브러리를 기반으로 측정하였다. 가로 8인치, 세로 8인치, 높이 26인치의 공간에 양초를 태우고 그 위에는 펌프로 연결하여 (연소시 발생하는) 기체 혼합물이 코코넛 활성탄으로 채워진 앰플을 분당 0.20 L의 속도로 통과하게 하였다. 정상적인 연소 패턴이 끊임없이 관찰되었다. 6시간의 연소 후 앰플의 성분은 정제된 이황화탄소에 넣어 흡수된 물질들을 모두 녹여냈고, 이를 기체크로마토그래피-질량분석기에 주입시켜 분석하였다. (그 결과) 파라핀 기반의 양초들은 톨루엔(toluene), 알케인(alkane)류, 알킨(alkene)류 뿐 아니라 케톤(ketone)류와 알데하이드(aldehyde)류의 생성물이 존재함을 보여주는 뚜렷한 피크가 관찰되었다. 얻은 결과는 매우 재현성이 있었다.7
그리고 엠바고가 걸려있던 기사가 'Romantic, candle-lit dinners: An unrecognized source of indoor air pollution(촛불 켜고 먹는 낭만적인 저녁식사: 미처 깨닫지 못했던 실내 공기 오염의 근원)'이라는 다소 섬뜩한 제목 아래 미국 화학회 웹사이트를 통해 나왔다. 기사 내용에는 당시 연구 내용 발표자와의 인터뷰가 다음과 같이 실렸다.
이 연구에서, 마수디 박사와 하미디 박사는 밀랍이나 콩으로부터 만든 양초들이 다소 비쌀지라도 명백히 더 건강에 이롭다고 말한다. 그러한 양초들은 실내 공기 오염물질을 많이 방출하지 않으면서도 석유로부터 만들어진 파라핀 양초의 온기와 분위기, 그리고 향기는 잃지 않기 때문이다.8
이쯤 되면, '아 파라핀 양초를 쓰지 말고 소이캔들을 쓰는 것이 건강과 환경에 도움이 되겠구나' 하고 설득될 법도 하다.
화학적으로 파헤쳐 보는 파라핀과 콩기름, 그리고 소이 왁스
자, 그런데 양초는 어떻게 만드는 것일까? 우선 파라핀으로 양초를 만들어 보자. 그 전에, 당신 파라핀(paraffin)이 뭔지 알고 있는가?
탄소와 수소의 결합으로만 구성된 탄화수소(hydrocarbon)류 중에서 모든 탄소간 결합이 단일 결합인 경우 우리는 그것을 알케인(alkane)이라고 부른다. 화학식으로는 CnH2n+2 으로 표기되는데 탄소 수(n)와 결합 방식에 따라 불리는 이름이 천차만별이다. 가장 간단한 것은 탄소가 하나(n=1)인 것으로 그 이름은 LNG의 주원료인 메테인(methane, 속칭 메탄)이다. LPG 가스의 주원료인 프로페인(propane, 속칭 프로판)은 탄소 수가 셋(n=3)인 알케인이며 휴대용 버너에 쓰는 가스통의 원료인 뷰테인(butane, 속칭 부탄)은 탄소 수가 하나 더 많은 넷(n=4)이다.
그런데 재미있는 사실은 탄소 수가 많아질수록, 즉 분자의 질량이 커질수록 알케인의 끓는점이 올라간다는 것이다. 예를 들어 부탄가스 통은 혹독한 추위 속에서 가끔 제대로 작동하지 않는 경우가 있는데 이는 뷰테인의 끓는 점이 -0.5 ℃이기 때문이다. 메테인이 -162 ℃, 프로페인이 -42 ℃인 것에 비하면 우리 겨울철 날씨 범위 안에 끓는 점이 들어온다. 그래서 뷰테인은 추운 겨울날 가스통 안에서 찰랑찰랑대는 액체로 대부분 존재한다.
끓는점만 오르는 것이 아니고 녹는점도 오른다. 탄소 수가 6개인 헥세인(hexane)의 녹는점은 -95 ℃이지만 탄소 수가 14개 되는 테트라데케인(tetradecane)은 녹는점이 +4 ℃ 정도이다. 즉, 테트라데케인은 추운 겨우날 딱딱한 고체가 된다는 것이다. 그렇다면 상온에서도 고체가 될 정도로 탄소 수가 더 높으면?
바로 그것이다. 파라핀은 통상적으로 탄소 수가 20개 이상으로 상온에서도 흰 고체를 유지하는 알케인을 통칭하는 말이다. 이런 거대한 알케인들은 보통 다른 화학종들과 거의 반응을 하지 않는데 파라핀이라는 이름도 '뒤떨어지는 친화력'이라는 뜻의 그리스어에서 왔다. 다만 워낙 탄소수가 많은 고체이다보니 동일 질량당 연소하면서 내놓을 수 있는 열량이 꽤 많은 편이고, 이러한 파라핀의 특성은 양초에 적용되었고 파라핀으로 만들어진 양초는 전세계적으로 널리 쓰이게 되었다. 파라핀은 석유 산업의 발전과 더불어 대량 생산되었고, 그 결과 우리는 싼 값에 양초를 사들여 필요한 때에 쉽기 사용할 수 있었다 ㅡ 만일 성냥팔이 소녀에게 양초를 건네줬더라면… 정확히 얘기하면 파라핀 왁스(paraffin wax)가 양초에 쓰이는 것이지만 왁스는 어떤 화학적인 명칭이라기보다는 상온에서 고체이나 약간 가열하면 물러지며 물 대신 유기 용매에 녹는 물성을 총괄하는 표현이기 때문에 파라핀 왁스나 파라핀이나 거의 구분없이 쓰인다고 보면 된다.
그럼 이제 소이빈 오일, 아니 콩기름에 대해 알아보자. 콩기름은 식물성 기름(vegetable oil)의 일종으로 자연에서 얻은 식물로부터 짜낸 기름을 말한다. 앞의 화학 이야기를 주의 깊게 읽었다면 뭔가 느낌이 들었겠겠지만, 식물성 기름은 보통 상온에서 액체로 얻어지는 기름 ㅡ 한자로 표현하면 油 ㅡ 이기 때문에 파라핀에 비하면 탄소 수가 많은 편이 아니라고 생각될 것이다.
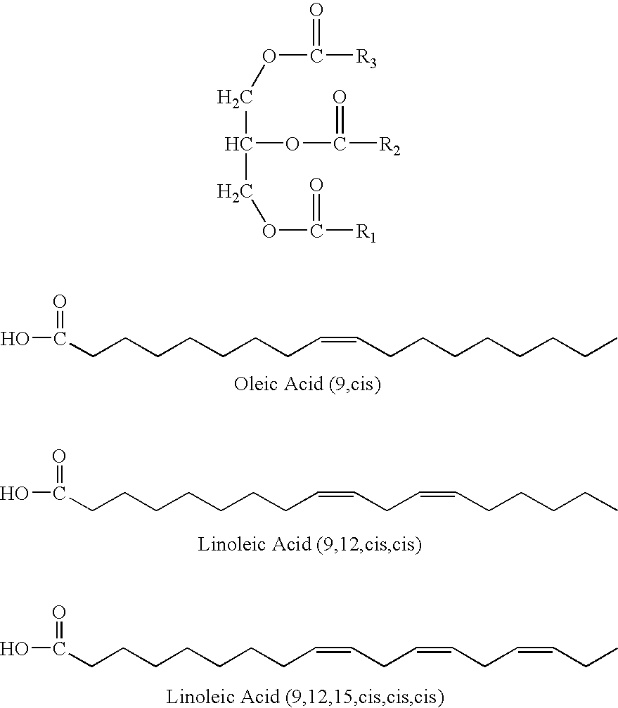
하지만 식물성 기름은 석유에서 얻은 파라핀과는 화학구조가 완전히 다르게 생겼기 때문에 그러한 화학 지식을 직접적으로 적용할 수 없다. 대체 어떻게 생겼기에? 알케인인 파라핀과는 달리, 식물성 기름은 트라이글라이세라이드(triglyceride)라고 불리는 물질로 구성되어 있다. 이 분자에 대해 화학적으로 조금만 이야기를 더 하자면, 세 개의 지방산(fatty acid)과 글라이세롤(glycerol)이 결합된 에스터(ester)화합물이다. 결국 식물성 기름의 종류를 판별짓는 것은 바로 글라이세롤에 연결된 지방산 세 개의 종류가 어떤 것이냐에 달렸다.
콩기름의 경우 대부분 지방산 세 개가 다음과 같다: 알파리놀렌산(α-linolenic acid), 리놀렌산(linolenic acid), 그리고 올레인산(oleic acid). 굉장히 혼란스럽겠지만, 각각의 모두 18개이다. 따라서 콩기름의 주성분은 탄소가 18+18+18+3=57 개로 구성된 거대한 분자이다. 그럼에도 이것은 고체가 아니다! 도대체 어떻게 이런 일이 가능한 것인가? 원인은 탄소간 결합에 있다.
파라핀의 경우 모든 탄소간 결합이 단일 결합으로 구성된 탄화수소 화합물이다. 하지만 세상 모든 탄소화합물이 모두 탄소간 결합이 단일 결합이어야만 한다는 법칙은 없다. 게중에는 이중결합이, 간혹 삼중결합도 있는데, 탄화수소류의 경우 이중 결합이 존재하는 것을 알킨(alkene), 삼중 결합이 존재하는 것을 알카인(alkyne)이라고 한다. 그리고 이러한 이중 결합과 삼중 결합을 통칭하여 불포화 결합(unsaturated bond)이라고 하는데 ㅡ 눈치 빠른 사람은 단일 결합을 포화 결합(saturated bond)이라고 불린다는 것을 알아챘을 것이다. ㅡ 더 이상 탄소와 다른 원자를 결합시킬 수 있는 여지가 없는 단일 결합과는 달리 불포화 결합들은 다른 원자들을 받아들이는 첨가 반응을 일으키기 때문이다.
그런데 결합의 차이는 구조적인 문제도 야기한다. 알케인의 경우 모든 결합이 단일 결합이므로 결합을 기준으로 하여 분자들이 마치 놀라운 각기 춤을 선보이는 댄서처럼(?) 자유자재로 회전한다. 반면, 알킨이나 알카인은 불포화 결합이 자유로운 회전을 방해하기 때문에 분자의 구조가 적은 자유도를 가지게 된다. 물질이 얼어서 고체가 된다는 것이 무엇을 뜻하는가? 느슨한 분자간 상호 작용으로 움직이던 분자들이 아주 가까운 위치에서 강한 분자간 상호 작용으로 구속되어 같은 모양으로 좌르륵 쌓여야 하는데 ㅡ 이를 패킹(packing)이라고 한다. ㅡ 자유롭게 회전할 수 있는 알케인은 그렇지 않은 알킨, 알카인에 비해 이러한 과정이 쉽게 일어날 수 있다. 거꾸로 말해 물질이 녹아서 액체가 된다고 생각해 보라. 어떻게든 우겨 넣어 패킹을 시킨 알케인, 알킨, 알카인이 있다고 할 때 어떤 것이 빨리 풀리겠는가? 당연히 억지로 괴상망측하게 패킹된 알킨, 알카인이 얼마 되지 않아 빨리 풀려 자기들끼리 좀 자유롭게 돌아다니고 싶을 것이다. 이를 화학적으로 표현한 것이 바로 알킨, 알카인의 녹는점(혹은 어는점)이 알케인보다 낮다는 것이다.
콩기름 분자를 구성하는 주요 지방산인 알파리놀렌산, 리놀렌산, 올레산은 각각 이중결합이 3개, 2개, 1개가 존재하는 불포화 지방산이다. 따라서 콩기름의 탄소 수가 무려 57개 정도나 되어도 불포화 결합이 꽤나 많이 있기 때문에 콩기름의 녹는점은 엄청나게 낮다. 심지어 자기보다 훨씬 탄소 수가 적은 파라핀이 고체로 있는 온도에도 콩기름은 액체로 남아 있는 것이다.
자, 그렇다면 이제 원료가 되는 이 파라핀과 콩기름으로부터 양초를 만들어 보자. 먼저 파라핀 양초를 만들어 보는 시간이다: 종이컵을 준비하고 안쪽에 비눗물을 발라준다. 컵 위에 심지를 돌려 얹은 나무젓가락을 올려놓고 심지를 드리운다. 가열시켜 녹인 파라핀을 컵에 붓는다. 하루 종일 식힌다. 그리고 굳은 양초를 컵에서 빼낸다. 간단하지?
이제 소이캔들을 만들어 보자: 종이컵을 준비하고 안쪽에 비눗물을 발라준다. 컵 위에 심지를 돌려 얹은 나무젓가락을 올려놓고 심지를 드리운다. 가열시켜 녹인 소이 왁스(soy wax)를 컵에 붓는다. 하루 종일 식힌다. 그리고 굳은 양초를 컵에서 빼낸다. 간단하지?
뭐야. 다른 게 없잖아? 단지 파라핀(혹은 파라핀 왁스)이 소이 왁스로 바뀐 것 뿐이다. 아니, 나는 소이캔들을 만들기 위해 콩기름을 부어 넣고 굳히는 것을 예상했는데 소이 왁스는 또 무엇인가?
잠시 20년 전으로 거슬러 올라가자. 소이 왁스는 마이클 리처즈(Michael Richards)라는 사람에 의해 개발되었다. 당시에는 파라핀 양초가 아니면 밀랍(beeswax)으로 양초를 만들어서 썼는데, 밀랍이 대량으로 얻어지는 것도 아니라서 밀랍 양초를 대량으로 팔아 이윤을 남기기에는 문제가 있었다. 그래서 고심하던 끝에 갖가지 식물성 기름과 왁스를 섞어서 양초를 만들어봤는데, 파라핀 양초에 비해 너무 딱딱하고 깨지기 쉬웠다. 그러다가 1992년에야 비로소 최초로 적절한 배합을 통해 식물성 기름 기반의 양초를 제조하는 데 성공했다. 그는 초반에는 아몬드 기름을 배합했다가 나중에는 좀 더 값이 싼 콩기름을 배합하기 시작했다. 드디어 이렇게 제조된 소이 왁스로부터 만들어진 소이캔들이 1995년 최초로 시장에 선보였고, 1996년에는 밀랍과 아몬드 기름을 완전히 배제한 공정을 확립하기에 이르렀다. 인디아나(Indiana) 주의 콩 산업계는 소이캔들의 발명을 크게 환영했으며 소이캔들 제조에 아낌없는 지원을 퍼부었다. 2001년 미국 내 최대 비공개회사인 카길(Cargill)사가 소이 왁스 관련 지적 재산권을 모두 사들였고, 2007년 엘레번스(Elevance)사가 소이 왁스만을 전문적으로 제조 판매하는 자회사 격으로 카길사로부터 떨어져 나왔다 ㅡ 그러나 카길사와의 관계는 여전히 밀접하다.16
대략적인 소이 왁스 탄생의 역사를 살펴봤으니 소이 왁스의 정체를 살펴보자. 카길과 엘레번스가 주로 판매해 온 소이 왁스는 NatureWax® C-3 이라는 상품명이 붙은 왁스인데 이들의 성분표는 엘레번스 회사 웹사이트(https://www.elevance.com)에서 쉽게 확인할 수 있다. 그러나 실망스럽게도 성분을 나타낸 표에는 아쉽게도 어떤 물질이 얼만큼 첨가되었는지 제대로 알 길이 없다. 그냥 적색 안료와 지방산, 과산화물을 섞었다는 게 전부이다. 한가지 위안을 삼을 수 있는 건 소이 왁스에 대한 개략적인 설명 한 줄: Hydrogenated Vegetable Glycerides with Alpha - monoglycerides and Sorbitan Tristearate. 여기서 소르비탄 트라이스테아레이트(sorbitan tristearate)는 유화제로 널리 쓰이는 화합물. 그리고 알파-모노글라세라이드(α-monoglyceride)는 아까 소개한 트라이클라세라이드에서 세 개가 아닌 하나의 지방산만이 글라이세롤에 결합되어 있는 것을 말한다. 결국 우리가 관심 있는 콩기름과 관련된 것은 앞에 있는 식물성 글라이세라이드(vegetable glyceride)이다. 그런데 맨 앞에 붙어있는 수소화(hydrogenated)는 무엇을 말하나?
앞에서 설명한 화학적 지식을 십분 활용하면 쉽게 이해할 수 있다. 소이 왁스는 왁스의 일종이다. 왁스의 기본 요건 중 하나는 상온에서 고체여야 한다는 것이다. 하지만 콩기름은 불포화 결합으로 인해 녹는점이 낮아 상온에서 액체로 존재한다는 것을 이미 익혔다. 그렇다면 어떤 마술을 부려야 콩기름이 왁스가 될 것인가? 그 해답을 제공하는 것이 바로 경화(硬化) 과정이다. 그런데 경화 과정을 영어로 하면 hydrogenation. 따라서 이 공정을 물성 변화 측면에서 번역하면 경화, 화학적인 변화의 측면에서 번역하면 수소화인것이다. 불포화 결합에 수소를 첨가하면 포화 결합이 되는 것은 간단한 유기화학만 익히면 알 수 있는 기본적인 사실이다. 가공 업자들은 금속(주로 니켈) 촉매 하에서 고온에 가열한 콩기름에 수소를 가한다. 그렇게 되면 콩기름 분자의 불포화 결합 일부가 포화 결합으로 바뀌게 되는데 이 과정에서 녹는점이 증가하게 되고 경화 과정을 마친 콩기름을 식히면 이전과 달리 고체로 굳어 있는 왁스를 얻게 된다. 이것이 바로 소이 왁스이다.
콩기름으로부터 소이 왁스를 얻는 것은 사실이다. 이 과정 중에 경화 과정이라는 인공적인 가공 공정이 포함되기는 한다. 사실 이 과정은 트랜스지방을 극도로 혐오하는 사람들에게는 청천벽력같은 소리일 것이다. 왜냐하면 불포화 지방산을 수소화시키는 과정 중에서 일반적으로 시스(cis) 형태의 기하 이성질체(geometric isomer)가 트랜스(trans) 형태로 바뀌는 상황이 필연적으로 발생하기 때문이다. 하지만 우리는 어차피 이걸 먹는 게 아니라 태워 벌리 양초로 쓰고자 함이니 이 과정이 크게 문제가 되지는 않는다 ㅡ 부디 트랜스지방 뿐 아니라 그걸 태운 연기도 위험하다고 광고하는 선동가가 나타나지 않기를 바랄 뿐이다.
그러나 문제는 순도 100% 의 소이 왁스는 파라핀과 같은 굳은 고체가 아니라는 사실에 있다. 소이 왁스의 경화는 오직 녹는점을 상온 이상으로 올리는 수준까지만 진행되므로 그 물성이 흔한 파라핀 양초와 같으리라고 생각하면 큰 오산이다. 굳기는 여전히 낮고 아슬아슬하게 액체임을 면한 수준에 불과하다. 그렇기 때문에 대부분의 소이캔들이 파라핀 양초처럼 개별적인 막대 형태로 제조되지 못하고 유리컵이나 병과 같은 용기 안에 굳혀진 채로 판매되는 것이다. 실제로 소이캔들 DIY 제조를 인터넷에서 검색하면 대부분 녹인 소이 왁스를 유리 용기에 붓는 것으로 제조를 완료하는 것을 확인할 수 있다.
만일 막대 형태로 파는 소이캔들이 있다면? 그것은 엄밀히 100 % 소이 왁스로 만든 소이캔들이 아니다. 필연적으로 거기에는 파라핀이 섞여 있으며 밀랍이나 팜 왁스(palm wax)도 배합되어 있을 것이다. 그렇다면 용기에 담긴 소이캔들은 100% 소이 왁스로 만든 것이라고 확신할 수 있는가?
불행히도 소이 왁스라는 명칭 사용에 대한 정확한 규제나 고시가 전세계적으로 없는 실정이다. 즉, 어떻게나 왁스를 만들어도 일정 양의 소이 왁스가 포함되어 있으면 그 제품 전체를 소이 왁스라고 부를 수 있는 것이다. 마치 순수 꽃꿀과 사양꿀을 아무렇게나 섞어도 순수한 꿀이 들어가 있으니 순수 벌꿀로 포장해서 파는 것과 크게 다르지 않다. 게다가 소이 왁스를 판매하는 업자의 성분표가 (아무리 회사 보안 사항이라지만) 저리도 무성의한데 도대체 무슨 배짱으로 이것이 100 % 소이 왁스라고 확신할 수 있겠는가?
따라서 소이 왁스에 대한 결론은 다음과 같다: 소이 왁스는 콩기름을 화학적으로 변형시킨 화학 물질이며, 소이캔들이 100 % 콩으로부터 만들어진 물질이라고 확신할 만한 믿을 만한 보증서는 전 세계 어디에도 없다.
좋다. 어찌되었든 소이 왁스가 조금이라도 포함되어 있다면 파라핀 왁스와는 다른 것이라고 치자. 그렇다면 소이캔들은 과연 파라핀 양초보다 연소시 발생되는 유해물질이 적을까?
우선 연소시 유해물질은 C, H, O로 구성된 분자가 산소와 화합할 때 자연적으로 발생하는 물과 이산화탄소를 제외한 나머지 연소 발생물 중 인체에 해롭기로 증명된 물질이라고 정의하자. 만일 유해물질이 포함될 가능성이 있는 연소 발생물 없이 연소가 진행된다면 완전 연소(complete combustion)라고 할 수 있다. 여기에는 산소의 원활한 공급이 필수적이다. 산소가 잘 공급되지 않으면 온갖 탄소 그을음과 다양하고 재미있는 형태의 유기화합물 ㅡ 그러나 인체에 미치는 영향은 결코 재미있지 않은 독성 물질 ㅡ 들이 발생한다. 이런 관점에서 보자면, 완전 연소가 일어나는 상황이 제일 친환경적이고 건강한 것이다.
그렇다면 이제 촛불의 연소에 대해서 좀 심층적으로 관찰해 보자. 무슨 물질이 연소한다는 것은 화학적으로 그 물질이 산소 기체와 화합하여 산화물을 발생시킨다는 것이다. 그렇다면 촛불을 만들기 위해 무엇이 산소와 화합하는 것인가? 당연히 양초겠지. 파라핀으로 만든 양초는 양초의 파라핀이 타는 것이 아니겠는가. 그러나 엄밀하게 이야기하면 먼저 심지에 불이 붙고, 그 붙은 불에 의해 심지 주변의 파라핀이 용융되고, 모세관력에 따라 빨려 올라간 파라핀 액체로부터 파라핀 증기가 나오게 되는데 심지의 불꽃 근처의 온도가 국소적으로 높아 파라핀의 발화점을 넘어서게 되고 그 조건 하에서 주변의 기체 파라핀이 자발적으로 산소와 화합하여 타게 되는 것이다. 따라서 촛불의 직접적인 원료는 바로 고체도 액체도 아닌 기체 파라핀이다!
그렇다면 연소의 상대방인 산소는 어떻게 파라핀과 만나 뜨거운 사랑(?)을 펼치는 것일까? 파라핀을 태우기 위한 산소는 촛불 주변으로부터 확산되어 공급된다. 이러한 식으로 형성되는 불꽃을 확산 불꽃(diffusion flame)이라고 한다. 결국 촛불의 존립 여부는 얼마나 많은 산소가 주변으로부터 잘 공급받느냐에 따라 달렸다. 그런데 모든 불꽃이 이렇게 만들어지는 것은 아니다. 가스 레인지 불을 켜면 나오는 불꽃은 확산 불꽃이 아니다. 왜냐하면 가스 레인지는 딱 소리를 내며 점화된 불꽃에 도시가스 연료만 불어주는 것이 아니라 공기도 함께 공급해 주기 때문이다. 이렇게 연료와 산소가 같이 섞인 채로 공급되어 불꽃을 만들 때 이를 공기혼입 불꽃(premixed flame)이라고 부른다. 그런데 산소는 무색무취하기에 어떤 방식으로 불꽃에 공급이 되는지 오감을 통해 산소의 움직임을 확인할 방법은 없다. 그러나 우리가 단번에 확산 불꽃과 공기혼입 불꽃을 구분할 수 있는 방법이 있으니, 바로 불꽃의 색깔을 통해서이다. 확산 불꽃의 경우 대부분 강한 노란 불꽃이다. 그러나 공기혼입 불꽃의 경우 대부분 청록색에서 파란색에 이르는 푸른, 그리고 옅은 색깔의 불꽃이다. 그렇다면 왜 똑같이 산소와 화합하는 연소 반응임에도 색깔이 다른 것일까?
혹자는 흑체 복사(blackbody radiation) 원리를 적용하여 설명하려고 하기도 한다. 흑체복사와 관련된 여러 이론 중 빈의 변위 법칙(Wien's displacement law)에 따르면 달구어진 물체는 그 에너지를 전자기파의 형태로 방사하는데 ㅡ 바로 이 과정을 유식하게 이르는 말이 복사(radiation)이다. ㅡ 그 전자기파의 파장이 온도에 반비례한다는 것이다. 쉽게 말하자면 덜 데워진 물질은 빨간색의 빛을 내며, 훨씬 데워진 물질은 노란색, 그리고 엄청나게 뜨거운 물질은 파란색을 띤다는 것이다. 이는 하늘의 별 색깔을 설명할 때 아주 잘 이용되는데, 태양의 경우 표면 온도가 약 5,500 ℃ 정도이므로 노란색에 해당하는 파장의 전자기파를 가장 많이 방출하므로 노랗게 보인다. 안타레스(Antares)는 표면 온도가 3,000 ℃를 조금 넘는데 이는 파장이 더 긴 빨간색에 해당하는 파장의 전자기파를 가장 많이 방출하므로 붉게 보인다. 그러나 이것은 공기혼입 불꽃이 푸른색을 띠는 것을 설명하지 못한다. 어떤 물체가 푸른색의 전자기파를 가장 많이 방출하려면 그것의 표면 온도가 수만도 정도가 되어야 한다. 약간 푸른색을 띤 흰 별인 리겔(Rigel)의 표면 온도가 바로 10,000 ℃ 정도 된다. 하지만 우리가 매일 켜고 끄는 푸른 불꽃의 가스 레인지 불이 그 정도 온도가 된다고 주장하기에는 가스레인지 자체와 그 앞에서 불을 켜고 끄는 우리가 늘 무사하게 살아남아 있다.
공기혼입 불꽃이 푸른색을 띠는 이유는 무지막지한 연소과정 중에 발생하는 라디칼(radical) 때문인 것으로 알려져있다. 라디칼이란 화학 반응 중에 생겨나는 물질인데 안정한 분자에 비하면 전자가 결합이 결핍되거나 과도한 상태로 있어 매우 불안정하다. 때문에 재빠르게 다음 반응을 이어나가는 대표적인 반응중간물(intermediate)로 여겨지는데 그만큼 반응성이 매우 좋다 ㅡ 영어로 radical은 '급진적인'이라는 뜻인데 어느 면에서 참 일맥상통한다. 메테인의 연소 과정 중에는 특히 CH와 C2 라디칼의 발생하는데 이들의 전자 에너지 구조를 살펴보면 연소를 통해 에너지 상태를 왔다 갔다하는 전자가 내놓는 빛의 파장이 푸른색 쪽에 가깝다.
흑체 복사는 확산 불꽃의 색깔이 왜 노란색인지 밝히는 데 사용되는 설명이다. 불꽃의 온도는 대개 수백 ℃에서 천 수백 ℃ 정도에 이르는데 이 때 해당하는 복사 에너지의 파장은 대부분이 적외선에 해당하지만 붉은색과 노란색도 많이 쏟아져 나오기 때문에 불꽃 색이 주황이 언뜻 느껴질 것 같은 노란색을 띠는 것이다. 그런데 문제는 이 흑체 복사를 내는 물질이 달구어진 파라핀이나 산소, 혹은 주변의 공기가 아니라는 점에 있다. 이 달구어진 물질 (충격적이게도) 불완전 연소의 결과물인 탄소 덩어리, 곧 우리가 소위 말하는 그을음이다. 영어로는 soot ㅡ 절대로 우리말의 숯을 말하는 것이 아니다. ㅡ 이라고 불리는 그 검댕이 우리의 촛불을 노랗게 만든다는 것이다.
텅스텐 필라멘트가 들어있는 전구를 우리는 잘 알고 있다. 전류를 흘리면 필라멘트가 충분히 가열되고 그 가열된 텅스텐 선으로부터 빛이 방사되는데 이 때 나오는 빛은 약간 불그스름한 노란색이다. 이것이 앞서 설명한 흑체 복사로 설명된느 것이다. 미국의 저명한 발명가였던 토머스 에디슨(Thomas Edison)이 최초의 전구를 발명했을 때는 무명실을 태워 만든 탄소 필라멘트를 사용했다. 물질은 달라도 흑체 복사는 다 동일하게 적용되는 것이니 탄소 필라멘트 전구도 불그스름한 노란색을 띠었을 것이다 ㅡ 그러나 고온에서 못 버티고 다 타버려 전구 안쪽에 숯검댕이로 남았을 것이다. 바로 그 원리가 촛불에도 적용되는 것이다. 다시 한 번 천천히 되짚어 보자.
심지에 불이 붙는다. 급격히 오른 온도에 의해 양초 윗부분의 고체 파라핀이 용융되고 심지를 따라 모세관력에 의해 빨려 올라간다. 그리고 최종적으로 만들어질 불꽃의 아래쪽에서 기체 파라핀이 산소와 만나 화합되기 시작한다. 이 때 불을 붙인 심지 근처의 온도가 매우 높기 때문에 국소적으로 대류 현상이 일어나게 되므로 불꽃 아래쪽에서는 무지막지한 양의 산소가 공급되는 상황이다. 이것은 거의 공기혼입 불꽃의 조건과 유사하기 때문에 아까 잠깐 언급한 CH, C2 등의 라디칼이 형성되어 아주 엷은 푸른 색의 불꽃이 관찰된다. 그러나 충분한 양의 기체 파라핀이 다 연소되는 것이 아니기 때문에 색깔만 푸를 뿐 온도는 그리 높지 않은 불꽃이다.
메테인과는 달리 파라핀은 워낙 큰 분자이기 때문에 라디칼이 형성되었다고 다 물과 이산화탄소로 바뀌기 쉬운 상태가 되는 것이 아니다. 이 거대한 알케인 분자들은 파란 불꽃이 일어난 위치 위에서 좀 더 작은 탄화수소류로 쪼개지는데 이를 화학적으로는 열분해(pyrolysis)라고 하며 화학공학적인 용어로는 크래킹(cracking)이라고 부른다. 이 지점은 아까 푸른 불꽃이 일어나는 촛불 하단부보다 산소 공급이 부족한 상황인지라 이러한 현상이 발생한다. 혹자는 밑이 아닌 바깥쪽에서도 산소가 확산되어 들어올 수 있지 않느냐가 반문할 수 있을 텐데, 조금만 더 끈기를 가지고 아래를 읽어보면 여기가 완전히 차단된 지역이겠구나 싶은 생각이 들 것이다. 아무튼 이 지점은 연소가 일어나는 지점이라기엔 산소 공급이 매우 적은 부분이라 색깔을 띠지 않는다. 실제로 촛불 사진을 잘 살펴보면 속불꽃 근처는 색깔을 띠지 않는 부분이 존재한다는 것을 알 수 있다.
이렇게 쪼개진 수많은 탄화수소 물질들은 한껏 달구어져 대류에 의해 심지 위쪽으로 솟구쳐 올라가게 된다. 이 때 산소는 촛불 주변으로부터 확산되어 들어와 발화점 이상의 이 물질들과 결합하게 된다. 때문에 가장 바깥쪽에 있는 기체 파라핀들이 산소와 가장 효과적으로 만나게 되고 여기서는 완전 연소에 가까운 화학 반응이 일어나게 된다. 물론 반응하지 않은 산소들은 계속 안쪽으로 확산해 들어가게 될 것이지만 아무래도 그 양은 현저히 줄어들 수 밖에 없다. 많은 양의 산소들과 만나게 될 것이라고 기대한 안쪽에 있던 탄화수소들은 실망할 수 밖에 없다. 그나마 부족한 산소들과 결합을 하게 되지만 이것은 결국 불완전 연소로 귀결되고, 그 결과 일산화탄소와 탄소 입자들이 생산된다. 탄소 입자가 생겨나고 보니 온도가 1,000 ℃ 정도 되는 뜨거운 상황이다. 때문에 탄소 입자는 한껏 달구어지게 되고, 여기서 노란색과 붉은색의 전자기파가 대량으로 방출되는 것이다. 단지 탄소가 작은 사이즈의 미세한 입자라는 것만 차이가 있을 뿐 빛을 내는 원리는 탄소 필라멘트 전구와 다를 바 없는 것이다.
촛불에서 완전 연소는 산소의 확산이 대류 등에 의해서 활발한 촛불의 바깥쪽 부분에서만 실현 가능한 이야기이다. (그렇기 때문에 아까 열분해가 일어나는 부분에서는 충분하게 산소 공급이 일어나지 않는다고 했던 것이다.) 오히려 촛불 그 자체인 촛불의 안쪽 노란색 영역은 불완전 연소로 인해 형성된 탄소 입자들에 의한 것이며, 이 물질들이 대류에 의해 실려 올라가면서 아래 위로 가느다란 노란 촛불의 형태를 형성하는 것이다. 이 탄소 입자들 및 탄화수소들은 위쪽으로 솟구치면서 촛불 바깥쪽으로 이동하게 되고 그 과정 중에서 산소와 만나 화합을 할 2차, 3차, 4차… 패자부활전(?)에 진출하게 된다. 만일 운좋게 모든 탄소 입자들과 탄화수소들이 이 기회를 잘 살려서 산소 짝을 만나게 되면 과정은 비록 불완전 연소였을지 몰라도 결과적으로는 완전 연소로 해피 엔딩을 맞이하게 될 것이며 최종적으로 촛불 위에서는 물과 이산화탄소만 퐁퐁 솟아나게 될 것이다.
그런데 운이 나쁘게도 탄소 입자들과 탄화수소들이 패자부활전에서조차 구제받지 못하는 경우가 생기게 되는데, 대류에 의해 탄소 입자들은 불꽃으로부터 발사되듯이 공중으로 계속 솟구치게 된다. 불꽃을 빠져나왔으니 바깥 공기에 의해 탄소 입자들의 온도는 급격히 내려가게 되며 가시광선 영역의 복사 에너지를 더 이상 방출하지 않게 되기 때문에 탄소 입자의 고유한 색인 검은 색의 연기가 되고 만다. 그리고 온갖 복잡한 탄화수소들도 같이 빠져나오게 되는데 이로 인해 양초가 제대로 타지 않고 그을음을 내는 경우에는 매캐한 냄새가 나게 된다.
자, 이제 화학적인 지성과 감각을 동원하여 이 현상이 발생하는 원인을 밝혀내야겠다. 왜 불꽃 내부에서 불완전 연소로 생성된 탄소 입자들과 탄화수소들이 끝까지 다 타지 못하고 불꽃 밖으로 빠져나와 우리를 울상짓게 만드는 것일까? 답은 간단하다. 연소의 원료가 되는 기체 파라핀의 양과 산소의 양이 불균형이었기 때문이다. 정확히 말하자면 공급되는 산소의 양에 비해 연료인 기체 파라핀의 양이 상대적으로 많았던 것이다.
자. 산소의 절대적인 공급량이 부족한 경우를 생각해 보자. 가장 대표적인 경우가 건물에서 화재가 났을 때이다. 당장 내 방이 거대한 화염에 휩싸인 충격적인 장면을 생각해 보라. 거대한 화염은 우리 방 내부의 공기 중 산소를 모두 다 먹어치우고도 남았을 것이다. 이 때문에 화재가 일어난 방 내부에서는 불완전 연소가 급격하게 진행되는데 온갖 그을음이 시야를 가릴 것이며 유독한 탄화수소 가스들이 발생하여 사람을 질식시킬 것이다. 화재 발생시 고온에 타 죽는 것보다 연기에 질식사하는 경우가 많다는 것이 바로 이 때문이다. 촛불도 마찬가지인데, 닫아놓은 방이나 입이 좁고 깊은 용기 안에서 양초를 태우는 경우 시간이 지나면 산소 공급이 줄어 검은 연기가 펄펄 나게 된다. 실제로 걸어 잠근 욕실에서 양초를 장시간 태우는 것은 매우 위험한 것으로 양초 회사들도 경고하는 매우 잘못된 '촛불 즐기기'의 한 예라고 할 수 있다. 하지만 환기가 잘 되는 바깥에서 태우는 경우에는 이런 일이 절대로 발생하지 않는 걸까?
여기서 두 번째 경우를 잘 따져봐야 한다. 연료인 파라핀의 절대적인 공급량이 과잉인 경우 말이다. 아니, 우리가 그것을 어떻게 조절할 수 있나? 불꽃의 온도도 같고, 화학반응은 동일할 것인데 우리가 손으로 직접 파라핀을 날라주는 것도 아니고 불꽃에 공급되는 파라핀의 양이 어떻게 영향을 받는다는 것인가? 말도 안 된다고 생각할 수 있다. 그러나 아주 중요한 요소 하나를 간과하고 있다. 범인은 바로 심지이다.
촛불의 근원적인 연료는 심지에서 빨려 올라간 액체 파라핀이 기화된 기체 파라핀이라고 했다. 심지에 불을 붙이면 심지가 처음엔 타다가 곧 기화한 파라핀에 의해 촛불이 형성된다. 이 때 양초 끝에 심지가 매우 길게 튀어나와 있다고 생각해보라. 그렇게 되면 심지로 빨려 올라간 액체 파라핀의 절대적인 양이 늘어난다. 더 많은 파라핀들이 연소에 참여하게 되는 것이다. 양초 심지가 두껍다고 생각해보라. 그렇게 되면 역시 심지로 빨려 올라간 액체 파라핀의 절대적인 양이 늘어난다. 과잉 공급된 파라핀은 불완전 연소된 채 불꽃으로부터 빠져 나오는 탄소 입자와 탄화수소류의 양을 증가시키는 데 일조한다. 결국 더 많은 부분에서 파라핀의 연소가 일어나긴 하겠지만, 경쟁상대가 많아진 이 치열한 연소 반응에서 패배한 탄소 입자들이 대량으로 울며 빠져나올 것이다. 당신의 촛불 끝을 유심히 봤을 때 깔끔하고 정돈된 모습이 아닌 지글지글 복잡다단한 모습이라면 양초 심지에 문제가 있었던 것이다.
이제 소이 왁스 이야기를 꺼낼 차례이다. 양초를 이루는 연료 물질이 어떤 것이든 위에서 열거한 양초의 연소 화학은 어디에나 적용된다. 그렇다면 연료 물질이 파라핀이 아닌 소이 왁스라면 앞에서 열심히 열을 내며 말한 연소 화학에 비쳐 봤을 때 불완전 연소물이 적을 것인가? 이것만 증명하면 우리는 소이캔들을 사야 할 분명한 과학적 근거를 갖게 된다. 하지만 여기까지 끈기 있게 글을 읽었다면 독자는 분명 회의감을 갖게 될 것이다. 왜냐하면 지금까지 논의한 연소 화학에서 연료 물질의 종류가 촛불에 기여하는 것이 상당히 제한적이라는 것을 발견했을 것이기 때문이다.
먼저 생각해 볼 것이 발화점이다. 그런데 파라핀과 소이 왁스의 발화점은 각각 220 ℃와 230 ℃ 정도로 큰 차이가 없다. 그 다음에 생각해 볼 것은 파라핀과 소이 왁스 중 어떤 것이 연소에 더 효과적인 화학적 구조인가 하는 점이다. 직관적으로 생각했을 때, 이는 너무 쉬운 문제로 생각된다. 연소 역시 엄연한 화학반응이며 기체 간의 반응은 분자간의 충돌에 의한 메커니즘으로 설명 가능하다. 이 때 반응을 이끌어낼 유효 충돌(effective collision)은 간단한 구조를 가진 작은 분자일수록 증가한다. 앞에서 설명한 바에 따르면 파라핀은 탄소 수 20~40개의 알케인류이며 그냥 단순한 1자형 사슬 형태이다. 탄소 수가 31개인 헨트라이아콘테인(hentriacontane)의 분자량은 436.84 g/mol 이다. 반면 소이왁스의 원료인 콩기름은 혼합물이긴 하지만 탄소수가 50개가 넘는 세 발 달린 거대 트라이글라이세라이드이므로 분자량이 훨씬 더 클 것을 짐작할 수 있다. 실제로 콩기름을 구성하는 물질들의 평균 분자량은 900 g/mol 내외로 추산되며 이는 왁스를 제조하기 위한 경화 과정 중에서 크게 변하지 않는다. (수소가 첨가되어 분자량이 수 g/mol 증가하지만 가뿐히 무시하자.)
물론 아까 설명했듯이 불꽃의 하층의 투명한 부분에서 연료의 열분해가 일어나기 때문에 촛불을 형성하는 직접적인 연료는 파라핀이나 콩기름이 아닌 그보다는 작은 분자들일 것이다. 하지만 어떤 것이 순차적인 열분해 및 산화 반응에 유리할 것인가에 대한 판단은 명백하다고 할 수 있겠다.
연소 화학을 죽 살펴본 결론은 다음과 같다: 연소에 관한 화학적인 고찰에 근거하자면 소이캔들 연소시 파라핀 양초보다 더 적은 양의 그을음이나 유해 물질이 나온다고 단정지을 수 없다. 같은 노란 불꽃을 보인다는 점에서 분명히 확산 불꽃에 의한 불완전 연소가 진행중이며, 그것이 실제 그을음과 유해 탄화수소 분자들을 생성하는 것은 심지의 상태나 산소 공급의 문제에 의한 영향이 더 지배적이다. 소이 왁스가 파라핀에 비해 더 효율적인 연소를 보일 것이라는 과학적인 근거는 희박하며 만에 하나 그렇다 하더라도 광고에서 말하는 것처럼 파라핀 양초보다 훨씬 무해하다고 표현할 합리적인 이유는 없다.
그을음과 유해한 유기화합물이 나오는 게 걱정된다면 소이캔들을 사는 것보다 심지를 자르는 특수 가위를 하나 이참에 장만해 두는 게 더 실용적이고 과학적이라 할 수 있겠다.
마지막으로 소이캔들을 제조하는 것이 파라핀으로 양초를 제조하는 것보다 지구 환경 보존에 더 유리할 것이라는 주장을 살펴보자. 파라핀은 원유를 정제하여 만들어지는 물질이다. 따라서 석유화학공업에 의존하는데 석유화학공업이 친환경적이라고 부를 사람은 아무도 없다. 원유의 증류와 석유제품의 가공은 인간 생활의 삶을 윤택하게 만드는 데 기여했지만, 그와 함께 지구 온난화, 각종 공기 오염, 그리고 자연 자원의 고갈 등의 문제를 일으켰다. 하지만 파라핀과 같은 탄소 수가 높은 끈적끈적한 물질들은 원유 증류 및 정제 시 발생하는 부산물로부터 얻는 것이라는 점에 주목해야 한다.
마치 '화학적'이라는 말이 '인체에 유해한', 혹은 '자연적이지 않은' 이라는 말들과 구분 없이 쓰이다보니 (이 세상 모든 물질이 화학 물질임에도 불구하고) 화학 물질이라는 생각이 들면 모두 지구 환경에 안 좋을 것으로 간주되는 경향이 있다. 그러나 석유화학제품들을 정제하고 실생활에 응용하는 과학기술 및 산업이 발전하지 않았다면 적어도 지금까지 우리가 일군 인류 문명사회의 진보는 성취되지 못했다. 원유의 활용이 인류 발전에 필수불가결 요소라면 우리가 취할 수 있는 가장 최선의 방식은 그 환경 문제를 없애는 것이 아닌 최소화하는 것이며 그 방편 중의 하나는 부산물의 재처리 및 활용이 될 것이다. 이러한 점에서 파라핀의 이용은 매우 효과적이고 최선의 방편이라고 할 수 있다.
그렇다면 소이캔들을 얻기 위해 콩을 재배하는 것을 생각해 보자. 농업은 석유화학공업에 비해 꽤나 친환경적인 것으로 보인다. 세계 최초의 유전이 개발된 것이 1800년대 중반인 것에 비해 세계 최초의 논밭이 개발된 것은 기원전 9000년으로 생각될 정도로 훨씬 긴 역사를 자랑하고 있다. 농업 혁명은 인류 역사에 가장 큰 변혁 중 하나였고, 사람의 필수적인 생존에 가장 필요한 먹거리를 제공한다는 점에서 매우 인간과 가까운 산업으로 여겨진다. 농업을 생각하면 구슬땀을 흘리며 벼를 베고 풍작인 논밭을 바라보며 흐뭇한 미소를 짓는 농부 아저씨의 푸근한 모습이 떠오른다. 이것이야말로 지구의 천연 자원을 아름답게 사용하는 예가 아닌가!
그렇기에 지금 장난하는 거냐고 물어볼 수도 있다. 어디 신성한 농업을 환경의 측면에서 저 더러운 매연 펄펄 나는 석유화학공업과 비교하냐고 말이다. 하지만 내 생각은 다르다. 적어도 소이캔들을 제조하는 콩 산업을 이야기하자면 이 글을 읽는 사람들도 약간은 당혹스러워 할 것이다.
전 세계에서 생산되는 농작물 중 총 생산가치가 가장 높은 3대 작물이 바로 쌀, 밀, 그리고 콩이다. 이 중 쌀이 인구가 많은 아시아 지역의 주식이기에 시장이 제일 크다는 것은 누구나가 인정하는 사실이니 일단 논의에서 제외를 하자. 그렇다면 밀과 콩이 남아있는데, 밀과 콩 중에서 생산량 대비 생산가치는 콩이 월등히 높다. 왜냐하면 탄수화물이 주성분인 밀은 먹거리로만 쓰이는데 비해 단백질이 함유된 콩은 다양한 용도로 사용될 수 있어 이용가치가 매우 높기 때문이다. 2012년 전 세계 콩 생산량은 약 2억 4천만 톤인데 이 중 생산량 1위는 단연 미국이다.25 그 뒤를 브라질과 아르헨티나가 바짝 따르고 있는데 브라질의 생산량 증가속도가 워낙 빨라서 현재는 브라질의 생산량이 1위가 아닐까 하는 의견도 제시되고 있다.
미국과 브라질, 아르헨티나의 공통점은 무엇일까? 우선 영토가 넓다. 그래서 농업면적이 우리가 생각하는 것을 초월할 정도이다. 그 광활한 땅이 죄다 농토이다. 이런 자연조건에서 생산되는 작물의 양은 어마어마해서 아마 저 정도면 세계 인류의 기아 문제는 해결될 것이라고 믿어도 될 정도로 ㅡ 세계 농작물 공급이 수요를 이미 훨씬 넘었다는 것은 잘 알려진 불편한 진실이다. ㅡ 마치 공장에서 농산물을 뽑아내듯 하고 있다. 실제로 미국의 농업은 산업형 농업이며 우리 나라 사람으로서는 선뜻 와 닿지 않는 영농구조를 가지고 있다. 농산물은 공산품이나 다름 없다. 따라서 땅을 아주 효율적으로 사용해서 단위면적당 산출량을 극대화하는 것이 산업형 농업의 핵심이다. 이것을 위해 그 거대한 면적에서는 오로지 단 한 가지의 작물만을 심고, 온갖 비료와 농약을 뿌려댄다. 심지어 콩의 경우 이것도 모자라 유전자를 조작한 품종 ㅡ GMO(Genetically Modified Organism) 이라고 불린다. ㅡ 이 개발되어 전세계에 퍼지게 되었다.
이런 산업형 농업이 환경에 끼치는 영향은 막대하다. 우선 앞서 이야기한 각종 비료로 인한 토양 및 수질 오염은 복잡다단한 환경 오염의 한 단면에 불과하다. 그 수많은 넓은 면적에 단 한 가지의 작물만을 대량 재배하는 것은 생물 다양성을 해치고 생태계를 단순화시킨다. 따라서 해충과 잡초 및 병원균의 창궐이 필연적인데 이를 막기 위해 어마어마한 양의 농약을 살포해야 한다. 이것은 토양 및 수질 오염 뿐 아니라 내성을 가진 더 무서운 수퍼 해충, 수퍼 병원균을 만들어내는 시발점이 된다. 그 결과의 피해는 고스란히 인간이 지게 되는 것이다.
그리고 또 무시 못할 점 하나가 바로 물의 고갈이다. 이런 대규모 산업형 농업에 쓰이는 농업 용수의 양은 막대하다. 콩 농업에 필요한 농업 용수를 대느라 습지(wetland)가 사라지고 대수층(aquifer)이 메마르는 치명적인 상황들이 발생하고 있다.27 그 뿐인가? 콩을 생산하는 것도 이 정도 환경 문제를 일으키는데, 그 콩을 가공하고 정제하는 데 투입되는 자원과 그 결과로서 우리가 짊어져야 할 환경 오염은 그에 비례해서 클 것이다.
전 세계에 유전이 많다 해도 산업형 농업 용지보다 절대적인 면적이 더 넓을 수는 없을 것이다. 거대 자본이 투입된 현 시대의 농업이 환경에 끼치는 문제는 석유화학보다 더 폭넓고 인간 삶에 더 밀접하게 연결되어 있다는 사실을 간과해서는 안 된다. 그럼에도 불구하고 단지 콩은 자연적인 천연 작물이고 파라핀은 인공적인 석유화학제품이라는 이유 하나만으로 소이캔들을 제조하는 것이 더 환경친화적이라고 말하는 것은 어폐가 있다.
물론 전체 콩 관련 산업에서 소이캔들이 차지하는 비중이 그리 큰 것은 아니라고 할 수 있다. 따라서 콩 농업의 환경 문제를 침소봉대했다고 주장할 수도 있을 것이다. 그러나 그런 논리대로라면 파라핀 양초가 전체 석유화학공업에서 차지하는 비중 역시 작은 편이다. 적어도 친환경이라는 주제 하에서 내릴 수 있는 결론은 다음과 같다: 소이캔들 제조공업이 파라핀 양초 제조공업보다 친환경적이라고 내세울 만한 직접적인 근거는 없다. 일반인들의 인식과는 달리 세계 거대 산업형 농업 지역에서 행해지는 콩 생산으로 인해 야기되는 환경 문제는 석유화학공업과는 다른 측면에서 심각하다.
팜유(palm oil)의 대두, 대두 산업의 위기를 부르다.
예수가 예루살렘에 들어올 때 모든 시민들이 길가에 나와 종려나무 가지를 흔들며 '호산나(구원하소서)!'를 외쳤다는 이야기는 오늘날 동남아 사람들에게도 유효한 이야기이다 ㅡ 다만 그들은 무슬림이니 호산나 대신 '비스밀라(하나님의 이름으로)!'를 외칠지도 모르겠다. 종려나무의 친척뻘인 기름야자나무의 열매로부터 식물성 기름이 나온다는 사실은 고대로부터 잘 알려져 있었다. 이 기름을 우리는 팜유(palm oil)라고 부른다.
팜유는 단위 면적당 기름 생산량이 가장 높은 기름으로 유명하다. 1 헥타르당 무려 5톤 이상의 기름을 얻을 수 있는 이는 면실유, 유채기름, 콩기름, 해바라기 등등 온갖 식물들의 생산성의 몇 곱절에 해당한다. 때문에 점점 높아지는 식물성 기름 수요를 만족시킬 수 있는, 산업적으로 가장 탁월한 것이 팜유였다. 게다가 20세기 중반 이후 다양한 먹거리, 특히 유탕처리한 식재료들에 대한 수요가 급증하기 시작했는데, 팜유는 이런 요구를 만족시키기에 아주 적절한 기름이었다. 왜? 팜유의 트라이글라이세라이드 분자를 구성하는 주요 지방산이 아까 앞에서 봤던 콩기름과는 달리 팔미트산과 올레산이다 (알파리놀렌산이 조금 포함되어 있긴 하다.). 여기서 새로 등장한 지방산인 팔미트산은 16개의 긴 알킬(alkyl) 사슬을 가지고 있는, 이중결합이 하나도 없는 그야말로 순수한 포화 지방한 그 자체이다. 따라서 팜유는 식물성 기름인데도 이중 결합이 적은 포화 지방에 가까운 기름이었고, 그 말은 화학적 반응성이 낮다는 말이므로 보관과 유통 및 가공 시 변형이나 부패 위험이 훨씬 덜하다. 팜유는 그야말로 신이 내려준 최상의 식물성 기름으로 여겨졌다.
이러한 팜유의 생산이 크기 늘어난 것이 1950년대 이후인데, 기름야자나무가 잘 자랄만한 천혜의 조건을 갖춘 지역에서 빽빽하게 조성된 야자나무 플랜테이션이 그야말로 우후죽순처럼 들어서기 시작했다. 팜유의 생산량은 덩달아 급증하기 시작했는데 2006년에는 콩기름을 밀어내고 전세계 식물성 기름 생산량 1위를 차지하는 위업을 달성하였다.

그런데 팜유의 생산은 콩기름의 생산과는 약간 다른 양상을 보인다. 세계적으로 많은 나라에서 생산하는 콩기름과는 달리, 팜유의 경우 총생산량의 95% 정도를 인도네시아와 말레이시아에서 생산한다. 콩과는 달리 기름야자가 잘 자랄 수 있는 환경을 가진 나라에서만 팜유가 생산 가능하기 때문이다. 재미있는 사실은, 이들 두 나라의 생산량은 매해 증가일로에 있다는 것인데, 국가적으로 팜유 산업은 장려되어 수많은 플랜테이션이 지금도 계속 조성 중에 있다. (이러한 팜유 산업은 삼림을 파괴하고 이산화탄소 발생량을 늘린다는 점에서 환경 파괴 주범으로 주목받는다. 놀랍게도 인도네시아는 전세계 이산화탄소 발생량 3위의 위엄을 보이는 국가이다.)
팜유의 생산이 늘고 이에 대한 수요가 급증할수록 피해를 보는 것은 다름 아닌 콩기름 업자들이다. 특히 미국의 업자들은 자신들이 힘겹게 짜낸 콩기름의 자리를 동남아에서 대량으로 수입해오는 팜유가 대체하는 것을 보고 기겁했을 것이다. 만일 세계기후변화로 미국이 야자나무 플랜테이션을 만들기에 적합한 기후가 되었다면 아마 북미 대륙이 팜유로 지글지글 튀겨질 지도 모를 정도로 수많은 기름이 쏟아져나왔을는지도 모르겠다. 그러나 현실은 현실. 넋놓고 식물성 기름이 시장이 잠식당하고 급기야 추월당하는 것을 지켜볼 수 밖에 없었던 것이다.
대체로 팜유에 대항하기 위해 다른 기름업자들이 취한 태도는 두 가지였다. 먼저 팜유의 유해성을 입증하는 것이었다. 그러나 이 시도는 사실상 실패했다. 고백하자면, 현대를 사는 우리는 팜유이 절어도 너무 절어 살고 있다. 온갖 물질에 ㅡ 심지어 샴푸에도! ㅡ 팜유가 섞여 있다. 만일 건강상 해로운 물질이었다면 전세계 수천만명이 심각한 증상을 보고했을 것이다. 그러나 현재까지 그런 일은 없다. 환경에 미치는 영향을 강조할 수 있겠지만 그건 콩기름 업자 자신들의 생산품도 마찬가지이기 때문에 자기 모순에 빠지지 않기 위해서 이 문제를 구체적으로 논할 수 없었을 것이다. 오히려 이쪽 면에서는 콩기름이 광범위하고도 대대적인 반격을 받았으니 바로 트랜스지방 논란이다. 콩기름과 같은 불포화 지방은 경화 및 유탕 처리 과정 중에서 트랜스 지방이 형성되는 것을 피할 수가 없다. 팜유는 비교적 이중 결합이 적기 때문에 이런 문제에서 보다 한 발짝 뒤로 물러나 있는 것이다. 도무지 팜유의 공세를 버틸 수가 없다!
그 결과 콩기름업자들은 대규모로 단결하여 콩기름의 또다른 사용처를 물색하기 시작했다. 단순히 식재료로 사용하지 말고 다른 활용방식을 찾아 새로운 시장을 개척하고 활로를 모색하자는 것이었다. 콩기름이 팜유를 제외한 다른 기름에 비해 가지는 한 가지 장점은 비록 팜유에 뒤쳐졌다해도 생산량 세계 2위의 대량 생산되는 기름으로서 값싸게 공급가능하다는 점이다. 특히 미국 업자들에게는 미국 콩기름을 제공해주는 셈이니 이것은 애국적인 태도로도 여겨질 수 있었다 ㅡ 미국판 물산장려운동인 듯 싶다. 그리고 그 새롭게 개발된 여러 활용처 중 하나가 바로 소이캔들이었다.
(특히 미국의) 콩기름 생산자들은 콩기름의 연구와 활용에 막대한 지원을 퍼붓고 단체 행동을 하는 것으로 알려져있다. 이러한 배경을 다 설명하는 건 과학자의 몫이 아니고 사회경제학자들의 역할이겠지만, 여기서는 소이캔들을 찬양하는 한 연구 결과를 발표한 어떤 과학 논문을 중심으로 그러한 배경을 살펴보기로 하자.
소이캔들이 연소될 때 양초보다 그을음이 잘 일어나지 않고 유해성분이 나오지 않는다고 주장한 어떤 논문이 Journal of American Oilchemists' Society에 출판되었다. 이 논문의 제목은 "Combustion characteristics of candles made from hydrogenated soybean oil"인데 저자들에 따르면 동일한 틀에 파라핀, 소이 왁스, 밀랍응 이용해서 양초를 만들었고, 촛불 위에 깔때기를 거꾸로 설치한 뒤 진공을 뽑아 불꽃에 의해 생성되는 탄소 그을음등을강제로 빨아들여 거름종이에 달라붙게 하였다. 또 유기 용매에 연속적으로 통과시킨 뒤 기체크로마토그래피법을 이용해 탄화수소 성분들을 면밀히 검출했다. 그 결과, 양초는 그을음도 많이 나오고 양초 소모 속도가 빠른데 비해 소이캔들과 밀랍양초는 그을음도 적게 나오고 양초 소모 속도가 느리다고 하였다. 즉 불꽃의 품질(?)이 좋다는 뜻이었다. 다만 크로마토그래피를 이용한 검출에서는 세 양초 모두 비슷한 미량의 탄화수소 물질을 발생시켜 큰 차이가 없음을 발견했다.31
여기서 몇 가지 알아둬야 할 사실은 저자들도 소이캔들과 밀랍 양초에서 그을음이 약간 발생한다는 것과, 공기 공급을 강제로 충분히 하게 하면 파라핀 양초의 그을음 발생도 밀랍 양초 수준만큼 개선시킬 수 있다고 언급한 점이다. 과학적인 입장에서, 이 논문을 읽고 파라핀 양초가 그래서 엄청 심각하게 나쁘구나 하는 생각이 든다기보다는 실험을 좀 더 체계적으로, 설득력 있게 해야겠구나 하는 그런 느낌을 강하게 받는다. 그러나 가장 중요한 사실은 따로 있다.
이 논문의 감사의 글(Acknowledgement)을 보면 왜 이런 의심스런 연구 결과가 논문으로 출판될 수 있었는지 이해할 수 있다. 보통 감사의 글에는 이 연구 진행에 도움을 준 사람과 그 내용을 간략히 기술하는데, 거의 연구비 지원을 해 준 프로젝트명과 주관 단체 혹은 기금의 이름이 빠지지 않고 나온다. 이 논문 말미의 감사의 글에 다음과 같은 문구가 실려있다:
연구비 지원을 해 주신 아이오와 콩 협회에 감사드리며 양초 만드는 물질을 제공해 주신 CandleWorks 社에 감사드립니다.
저자들이 아이오와 주립대학 사람들이니 아이오와 콩 생산업자들에게 지원을 받았을 수도 있다고 생각한다. 그러나 다른 주도 아닌 아이오와는 조금 특별하다. 왜냐하면 아이오와 주는 세계에서 콩을 가장 많이 생산하는 미국에서 콩 생산농지가 가장 넓은 주이기 때문이다. 여의도의 100배 면적 이상이 콩을 재배하는 지역이라니 그 규모가 혀를 내두르게 한다.33 당연히 콩 산업이 위축되면 가장 많이 피해를 보게 될 지역 중 하나이다. 그러니 콩 산업의 지속 가능한 발전을 위해 어떠한 수단이라도 쓰지 않겠는가? 그 중 가장 쉬운 대책이 콩 생산품을 연구하는 단체에 돈을 쥐어주는 것이다. 아무리 콩 생산업자들이 광고와 홍보에 열을 올려봐야 사람들은 '저거 팔아보려고 갖은 수를 쓴다.'고 생각할 것이다. 하지만 흰 가운을 입고 열심히 실험하는 사람이 권위 가득한 한 마디를 논문에 실어 발표한다면? 사람들의 반응은 180도 달라지게 된다. (여담이지만 이래서 과학자들은 가끔 자본 앞에서 무력하게 이용당하기도 하는 것 같다.)
연구를 하는 사람이라면 이 논문의 감사의 글을 읽고 단번에 헛웃음을 치게 될 것이라고 확신한다. 이렇게 노골적으로 연구비를 지원받았는데 퍽이나 결론이 '소이캔들이 별로 좋은 게 없어요'라고 나겠다. 그런 결론으로 논문을 제출했다면 당장 이 연구실은 콩 관련 단체로부터의 지원이 끊어지게 될 것이고, 콩가루 실험실이 될는지도 모른다. 이러한 이익단체의 집중적인 지원을 받는 연구가 객관적이고 편향되지 않은 결론을 내리라고 기대하기는 힘들다는 것이 일반적이라고 보면 되겠다. 슬픈 현실이지만 과학계가 객관적이고 진실만을 다루는 곳이라고 생각하는 것은 순진한 생각이다. 모든 과학자들이 나서서 보다 객관적인 과학계를 만들어 나가는 것이 중요하지만 플라톤이 얘기한 천상의 이데아 이외에는 그러한 존재가 지상에 존재하기는 힘들다는 게 문제이다.
이 글을 통해 주장하고 싶은 바는 아주 단순하다. 소이캔들의 장점을 강조하기 위해 필연적으로 같이 따라다니는 파라핀 양초를 비난하는 문구들에 과학적인 오류가 많다는 것을 조목조목 얘기하고 싶은 것이다. 사실 소이캔들이 나쁜 양초라는 뜻이 아니다. 단지 과학적인 측면에서 살펴보자면 소이캔들이 파라핀 양초에 비해 소비자에게 특출나게 좋은 점이 별로 없다는 것이다. 따라서 우리는 예전처럼 소이캔들을 사용해도 좋지만 그것이 파라핀 양초보다 더 우월하다는 생각은 버리고 그냥 구매하는 것이 낫다. 즉, 이것은 어떤 것이 더 낫냐 더 나쁘냐의 선악의 문제가 아니라 어떤 것을 선호하느냐 하는 취향의 문제이다.
그런데 이런 상황 어디서 꼭 겪어본 적 있지 않나? 대체로 어떤 물건을 팔아먹기 위해서는 취향의 문제를 선악의 문제로 바꾸는 것만큼 좋은 것이 없다. 예전에는 별로 신경도 안 썼던 카제인나트륨이 왠지 유해할 것같은 화학물질로 그려지는 게 대표적인 예이다. 사실 인스턴트 커피에 카제인나트륨을 사용하든 무지방 우유를 사용하든 그것은 어떤 맛과 향의 커피를 선호하냐 하는 취향의 문제이지 그것으로 인해 건강이 위협받는다든지 하는 건 아니다. (카제인나트륨을 인스턴트 커피에 넣는 게 안 좋은 것처럼 광고하는 그 회사의 요거트 제품에 실은 카제인나트륨이 버젓이 들어가 있다. 다들 알고 있었나?) 하지만 요즘 세상이 어떤 세상인가. 건강에 나쁘다고 하면 외면하는 것이 요즘 소비자들이다. 이 회사는 카제인나트륨보다 무지방 우유가 건강에 좋다는 것을 은연중에 내비치면서 ㅡ 사실 카제인나트륨이라는 화학적인 이름은 분명 대중들에게 덜 건강하게 느껴진다. ㅡ 공격적인 마케팅을 펼쳤고, 그것은 매출 급성장의 대성공 신화를 낳았다.
콩 생산업자들도 비슷한 마케팅 전략이 성공을 거둔 것이었고, 그 결과 소이캔들 시장은 지난 20여년 사이에 급성장하여 고급 양초 시장에서 귀한 대접을 받아 왔다. 사실 그것에 대해서 별로 분개해 하고 싶지 않다. 수많은 사람들이 별로 특별한 차이가 없음에도 웃돈을 훨씬 얹어서 루이뷔통 가방을 사고, 캐나다구스 패딩 점퍼를 입는 것을 보면 분명히 사람들으 다른 사람들과 차별된 특별한 구매를 항상 원한다. 그냥 파라핀 양초말고 소이캔들을 선호할 사람들의 심리가 분명 있지 않겠는가. 그런 점에서 소이캔들의 제조와 판매를 이해해 줄 수 있다. 하지만 소이캔들이 그을음도 내지 않고 유해 물질도 내지 않는 완벽한 양초이며 파라핀 양초는 그에 비해 아주 악독한 물질이라고 이야기하는 것은 분명 문제가 있다. 파라핀 양초보다 그렇게나 비쌀 필요도 없는 그 소이캔들을 이용해서 이윤을 극대화하기 위해 과학적인 사실들을 호도하는 것 그 이상도 이하도 아니지 않는가. 그렇기 때문에 과학을 아는 사람들이 나서서 이러한 잘못된 행동들을 꼬집어 줄 수 있어야 하는 것이다.
소이캔들이 어떻느니, 파라핀 양초가 어떻느니, 이 뒤에 있는 과학적인 사실들이 어떻느니 하는 것을 이해한다고 해서 세상이 달라지는 것은 아니다. 뭐 그렇게 치면 우리는 민법과 형법, 약리 작용과 복식 부기를 몰라도 세상 잘 살 수 있다. 하지만 항상 어떤 중요한 순간에 우리는 결국 변호사와 의사와 회계사를 찾게 되지 않는가. 그리고 가끔 그들이 TV 프로그램에 나와 이런저런 설명을 해주기도 하지 않는가. 나는 과학자들도 그런 역할을 하는 사람일 수 있다고 생각한다. 그리고 사실 그게 더 중요하다. 풀리지 않는 법정 공방과 들어보지 못한 치명적인 불치병보다야 과학적인 사실들과 경험들이 일상 주변에 널리고 널렸으니까 말이다.
![]() |
이 저작물은 크리에이티브 커먼즈 저작자표시-비영리-동일조건변경허락 4.0 국제 라이선스에 따라 이용할 수 있습니다. |